HIPERTEXTOS DEL ÁREA DE LA BIOLOGÍA
PRINCIPAL INTRODUCCIÓN ANIMACIONES CÉLULAS BIODIVERSIDAD HERENCIA EVOLUCIÓN

TRATAMIENTO DEL VIH

Compuestos polianiónicos |Inhibidores de la transcriptasa inversa | Inhibidores de la integrasa |  Inhibidores de proteasa |

Principal Arriba Virus Estructura y Clasificación de los virus Métodos estudio y diagnóstico viral Reproducción de los virus Virus Influenza VIH Vacunas antivirales Tratamiento gripe Tratamiento VIH Tratamiento Hepatitis B


Compuestos polianiónicos

Son compuestos con cargas negativas (polianiónicos) que interactúan con los aminoácidos cargados positivamente en el loop V3 de la gp120 impidiendo la unión del virión al heparan sulfato con lo cual el virus, al no adherirse al glicocálix de la célula no puede iniciar el ciclo. Estos compuestos están presentes en ciertas jaleas espermicidas.

 

TAK779

Este compuesto forma un complejo e interacciona con el correceptor (receptor de quimiocinas) mecanismo que impide la unión del virus a su correceptor.

Otra droga bajo desarrollo en esta clase es un compuesto llamado SCH-C (Schering Plough). Los investigadores están investigando a SCH-C como un compuesto que impida la habilidad del VIH de enlazarse al co-receptor CCR5 de la célula CD4 T. SCH-C ha demostrado la habilidad de inhibir la replicación del VIH en tubos de ensayo. Se presentó data preliminar de seguridad y eficacia de la Fase I del estudio. Doce participantes VIH positivos recibieron tratamiento con 25 mg SCH-C como monoterapia (sin ninguna otra droga) dos veces al día por 10 días. Al tercer día del estudio se observó una reducción significante en la carga viral de los participantes, 1/3 (4 de 12) experimentaron una reducción mayor de 1-log. En este estudio de dosis baja SCH-C fue bien tolerada. Otra ventaja de SCH-C es que puede tomarse oralmente.

T-20: El primero de una nueva clase de fármacos

anti-VIH

T-20 (también conocido como pentafusida, previamente como DP-178) es un nuevo antirretroviral potente, el primero de una nueva clase de fármacos anti-VIH. Los datos de estudios previos in vitro sugieren que el fármaco ejerce una actividad antiviral potente; actualmente, los resultados finales de un estudio piloto de 16 personas demuestran que T-20 puede reducir la carga viral plasmática del VIH en un 99%. T-20 es elaborado por la compañía Trimeris Inc., de Durham, NC.

Un mecanismo de acción diferente

T-20 es un péptido sintético del aminoácido 36. Por ahora, no se comprende por completo su mecanismo de acción. Como inhibidor de la fusión, T-20 ataca al VIH durante un punto en su ciclo de replicación que no es atacado por los otros antivirales actualmente disponibles. El fármaco usa como blanco la fase fusión de la infección por el VIH, cuando el virión viral se acopla con una nueva célula, como el linfocito T CD4. Se cree que T-20 interfiere de alguna forma con la molécula gp141 de la superficie del virus, frenando la capacidad del VIH para acoplarse e infectar nuevas células necesarias para su reproducción. En pruebas de laboratorio, T-20 resultó ser un inhibidor mucho más potente del VIH-1 que el VIH-2 (aproximadamente una potencia específica contra el VIH-1 de 10 a 1.000 veces mayor.)

No se ha documentado resistencia viral al fármaco. Teóricamente, si T-20 es capaz de eliminar la replicación viral a través de la prevención completa de la infección de nuevas células, entonces la resistencia no tiene muchas oportunidades de desarrollarse. Sin embargo, cuanto más tiempo se emplea un fármaco, mayor es el potencial de desarrollar la resistencia a ese fármaco.

Todavía no se han obtenido datos de duración sobre T-20. Para poder emplear el fármaco por períodos de tiempo extensos, es probable que T-20 se combine con otros antirretrovirales para prevenir el desarrollo de resistencia. Puesto que el fármaco contiene un mecanismo de acción único, no es probable que ocasione problemas de resistencia opuesta con los demás antirretrovirales disponibles.

T-20 requiere la administración por inyección intravenosa o subcutánea dos veces al día. Los investigadores están desarrollando una bomba computerizada de infusión, parecida a la bomba empleada por los diabéticos para administrarse la insulina. La bomba, que será del tamaño de un "pager", administrará el fármaco de manera lenta, continua y eficaz.

El futuro de T-20

T-20, el primero de una nueva clase de fármacos de fusión, merece ser observado; por ahora el único aspecto negativo es su forma de administración. Por esta razón, Dr. Richman también recomienda el desarrollo de un péptido pequeño con un mecanismo de acción parecido al de T-20, además del desarrollo de otras moléculas pequeñas capaces de interrumpir la replicación del VIH interfiriendo en su capacidad para acoplarse a células huéspedes. Si se desarrollan, estos medicamentos podrían ser consumidos por vía oral.

Inhibidores de la transcriptasa inversa

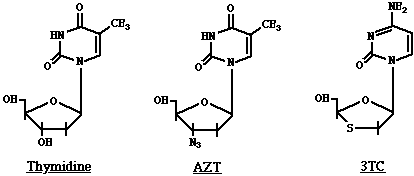
Zidovudine (AZT): Mecanismo de acción de zidovudine (3'-azido-3'-deoxythymidine) en la replicación del VHI-1: es un análogo sintético de la pirimidina e inhibe los retrovirus de los animales y de los mamíferos (HTLV-1 y VHI). El AZT es convertido en trifosfato por la fosforilación hecha por los enzimas celulares y así el AZT-TP es incorporado en la cadena nueva de ADN, inhibiendo su elongación (ya que no tiene los radicales -OH en la posición 3' ). El blanco del AZT TP es la transcriptasa inversa, que  usa el AZT TP en lugar de la molécula habitual timidina trifosfato. El virus VHI puede volverse resistente a los efectos de la AZT, debido a las mutaciones que afectan a la estructura de la transcriptasa inversa (incluyendo cambios en los sitios activos del enzima).

azt3tc.gif (2216 bytes)

Lamivudina (3TC), Didanosina(ddI), Zalcitabina (ddC), Stavudina (d4T): Tienen mecanismos de acción similares al AZt. 3TC = 2'-deoxy-3'-thiacytidine; ddI: 2',3'-dideoxyinosina; ddC: 2',3'-dideoxycytidina; d4T: 2',3'-didehydro-3'-deoxythymidina. Estos son análogos dideoxynucleosidos del dC, dA, dC, y dT respectivamente.

nevira.gif (1194 bytes)

Nevirapine: Es un inhibidor no nucleósido de la trancriptasa inversa (RT). A diferencia de los análogos de los nucleótidos, para ser activa no necesita de una fosforilación, su acción es unirse a la RT e inactivar el enzima de una manera no competitiva. La nevirapina se une directamente a un hueco de 3 dimensiones cerca del sitio activo dentro de la molécula del enzima de la RT.

Inhibidores de la integrasa

Una de las más nuevas clases de drogas bajo desarrollo que parece ser alentadora es el inhibidor de integrasa. La integrasa es una enzima usada por el VIH para penetrar su DNA en las células CD4 T. Los inhibidores de integrasa han estado bajo estudio por años, pero hasta ahora han tenido muchos efectos secundarios para tomar un paso adelante hacia ensayos clínicos que envuelvan a participantes humanos.

Shiongi, una compañía japonesa, reportó a su nuevo inhibidor de integrasa llamado S-1360. S-1360 está en sus primeras etapas de desarrollo, sin embargo, ha demostrado una buena actividad en contra del virus resistente a todas las clases terapéuticas disponibles actualmente, en tubos de ensayo y pocos efectos secundarios en pruebas con animales. Desde la conferencia Shiongi ha unido sus fuerzas con GSK para formar la farmacéutica Shionogi-GlaxoSmithKline e iniciar la Fase I de los ensayos clínicos con S-1360. En una reunión reciente de GSK se discutieron los planes de las Fases I/II para ensayos en los Estados Unidos. Ningún inhibidor de la integrasa ha sido todavía aprobado su mecanismo de acción radica en el hecho de impedir que el ADN viral se introduzca en el ADN de la célula.

Inhibidores de proteasa

Inhibidores de la proteasa del VHI. La VHI PR es un dímero simétrico, que contiene residuos apareados de ácido aspártico en su sitio activo. El complejo enzima-substrato también contiene una molécula de agua muy importante, única en las proteasas retrovirales, comparada con otras proteasas de ácido aspártico. La mayoría de los inhibidores enzimáticos son compuestos que imitan a los péptidos que son análogos de estados de transición. En otras palabras, dichos compuestos imitan la configuración del estado transicional del substrato natural del VHI PR.  Como consecuencia, los inhibidores se unen al enzima más fuertemente que el substrato natural (ya que el substrato debe distorsionarse para asumir la configuración de estado de transición). Estos compuestos son por lo tanto, inhibidores enzimáticos competitivos, y se clasifican de acuerdo a la simetría de sus estructuras. Así, el inhibidor de Merck, Indinavir y el inhibidor de Roche, saquinavir son asimétricos, mientras que el ritonavir de Abbot es muy simétrico. En general, los inhibidores de la proteasa han mostrado una gran promesa como fármacos anti VHI, particularmente cuando se usan en combinación con otros fármacos anti-retrovirales. Los problemas presentados con los inhibidores de la proteasa incluyen (1):mala absorción por vía oral (solo una pequeña fracción ingerida, pasa al torrente circulatorio), y (2): cruzan muy mal la barrera hemato-encefálica y por ende muy bajas concentraciones en el tejido cerebral.

hivpr2.gif (4692 bytes)

Inhibidores de la proteasa

Terapia combinada. La terapia combinada ó el uso simultáneo de múltiples fármacos antivirales anti-VHI, puede ser el medio más efectivo de controlar la infección por VHI (por ejemplo: AZT + 3TC + indinavir es una combinación efectiva, tanto como otras combinaciones).

Nota importante:  en la clínica diaria se han descrito  mutantes del VHI-1  resistentes a todos los fármacos descritos en esta hoja.  La  resistencia viral es un problema muy importante en los tratamientos antivirales.

Los inhibidores de proteasa modificaron de manera radical la historia natural de la infección por VIH, especialmente en los pacientes en estados avanzados. Gracias a ellos, la mayoría de los sujetos en etapas terminales son capaces de recuperar inmunidad, peso corporal, disminuir o desaparecer síntomas sistémicos y mejorar notoriamente su calidad de vida de una manera sostenida. Si bien es cierto que estos mismos efectos se podían observar con la administración de uno o dos análogos de nucleósido, esto se lograba sólo en un 10% de los pacientes, y al cabo de los meses los efectos benéficos iban desapareciendo. La propiedad que marca esta diferencia es la potencia elevada antirreplicativa de la mayoría de los inhibidores de proteasa.

Este grupo de medicamentos inhibidores de VIH actúan inhibiendo, es decir evitando el funcionamiento, de una proteína funcional del VIH con actividad enzimática de proteasa sobre otras moléculas estructurales del propio virus.

Impiden la maduración de los nuevos virus, impidiendo que se vuelvan infecciosos los nuevos virus producidos. Entonces los inhibidores de proteasa impiden nuevos ciclos de infección a otras células, pero no actúan sobre la replicación viral en células ya infectadas, como si lo hacen los inhibidores de transcriptasa reversa nucleósidos y no nucleósidos.

RESISTENCIA A INHIBIDORES DE PROTEASA

La resistencia surge del efecto inhibitorio parcial de un inhibidor de proteasa debido a una dosis menor a la recomendada, pobre absorción, por ejemplo el invirase, ingesta irregular o interacción medicamentosa desfavorable, como el indinavir en dosis usual más efavirenz. El mecanismo molecular es la aparición de mutación en los codones de la enzima proteasa o en la poliproteina Gag - Pol que disminuyen la afinidad de la proteasa por el inhibidor de proteasa. Todos los inhibidores de proteasa gasta ahora en el mercado pueden desarrollar resistencia. Existen mutaciones primarias y secundarias, mutaciones en el sitio activo y mutaciones fuera del sitio activo. La mutación primaria es aquella que confieren una resistencia considerable al inhibidor de proteasa; por el contrario, las secundarias complican la terapéutica pues amplían el espectro de resistencia a varios inhibidores de proteasa.

Las pruebas moleculares de resistencia como ensayos genotipicos y fenotipicos, son de interpretación difícil y actualmente tienen una utilidad limitada en la aplicación clínica.

NUEVOS INHIBIDORES DE PROTEASA

Hay inhibidores de proteasa en diferentes fases de estudio que muestran ventajas en relación a los primeros cuatro. Destacan amprenavir: VX478, agenerase AG-.1778, AB-378, tripanavir: PNU-140690, BMS 232632 y AG-1776. La mayoría de ellos tienen un bajo nivel de resistencia cruzada con los primeros cuatro inhibidores de proteasa pero sólo los nuevos estudios controlados determinaran el verdadero peso de estos nuevos medicamentos en segunda opción de inhibidores de proteasa. Hay ventajas potenciales adicionales como el compuesto BMS 232632 que administrado una vez al día es capaz de alcanzar niveles sanguíneos inhibitorios adecuados.


Basualdo Juan A.; Coto, Celia; De Torres Ramón A. (1996). Microbiología Biomédica

 

 HIPERTEXTOS DEL ÁREA DE LA BIOLOGÍA  © 1998-2007

• Universidad Nacional del Nordeste • 

Fac. de Agroindustrias, Saenz Peña, Chaco República Argentina • 

Consultas y sugerencias a los autores lito3400@yahoo.com y ana@unne.edu.ar